025-86293810

江苏省室内环境污染防治学会

科普教育

   联系我们

江苏省室内环境污染防治学会

E-mail:jspioiepc@163.com

电话:025-86293810

传真:025-86293810

邮编:210002

地址:南京市秦淮区光华路104号5号楼2楼


  •   位置:
  • 首页>>
  • 科普教育

室内低浓度臭氧损害儿童心肺健康


导读



人的一生中约有80%以上的时间是在室内度过的。室内空气质量与人群健康密切相关。近年来,臭氧(O3)污染及其造成的健康危害成为国内外关注的焦点。但室内O3所致的人群健康效应及潜在机制仍不清楚。本文首次从分子水平阐明了较低浓度室内O3的心肺健康影响机制,可为进一步修订室内空气质量标准、保障人群健康提供科学依据


近年来,室内空气污染及其健康危害受到广泛关注。其中,被称为“高空保护伞”的O3,可保护地表生物免受紫外线的伤害,在近地面却成为一种主要的气态污染物,其健康危害不容忽视。大气中的O3主要由氮氧化物和挥发性有机物通过二次反应生成,室内O3主要来源于室外O3的渗透。然而,室内O3的人群健康效应及其机制尚不清楚。为此,北京大学公共卫生学院与中国科学院城市环境研究所、厦门大学公共卫生学院合作开展了一项定组研究,以学龄儿童为研究对象,探讨室内O3短期暴露的心肺健康效应及潜在机制(图1)。

图1 图文摘要


该项研究以中国北京市某学校教室为研究地点,对教室内空气污染物进行了监测,并对46名健康学龄儿童的心肺功能指标进行了重复测量。同时,采集了儿童尿液样品进行非靶标代谢组学分析。通过构建线性混合效应模型,对室内低浓度O3暴露、儿童心肺功能指标之间的关系进行探讨。研究发现,即使远低于中国现行室内空气质量标准的室内O3浓度(8.7±6.6 ppb),依然可观察到其对儿童心肺健康的短期不良影响

进一步采用meet-in-metabolite(MIMA)方法探究室内低浓度O3暴露与儿童心肺健康之间潜在的分子机制。经最小二乘判别分析和混合效应模型分析,最终鉴定出9种与室内低浓度O3暴露相关的代谢物,主要涉及胆汁酸代谢及精氨酸谷胱甘肽甲硫氨酸酪氨酸等氨基酸代谢通路。室内低浓度O3暴露与代谢物之间的暴露反应关系如图2所示。分析发现,男孩体内的胆汁酸代谢可能对室内O3暴露更为敏感。

图2 室内O3暴露与代谢物的暴露反应关系

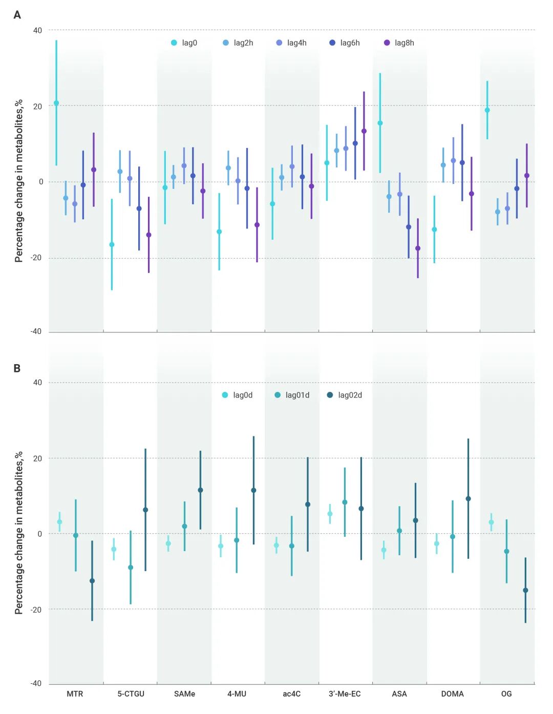
图3展示的是基于线性混合效应模型,对室内O3暴露不同滞后时间的滑动平均值与代谢物之间关系的分析结果。图3A的结果表明,大多数代谢物在室内低浓度O3暴露后,可以立即发生显著的改变,只有少数代谢物如3'-O-甲基-(-)-表儿茶素在暴露滞后2小时才发生显著改变。图3B的结果提示,大多数代谢物在O3暴露当天发生显著改变,滞后1天时改变不显著,滞后2天时部分结果发生逆转。

图3 室内O3暴露不同滞后时间与代谢物之间的关联

室内O3相关代谢物与心肺功能指标之间进行混合效应模型分析表明:5-CTGU下调和酮戊二酸上调等反映了胆汁酸、精氨酸及甲硫氨酸代谢通路的扰动,与儿童心率变异性降低、血压升高显著相关,谷胱甘肽代谢相关的4-甲基伞形酮下调与气道炎症增加显著相关。

研究以代谢物为桥梁,通过MIMA策略探讨室内低浓度O3暴露与儿童心肺功能改变之间的潜在分子机制,最终得到了如图4所示的机制假说图。室内低浓度O3短期暴露可通过扰动儿童体内的胆汁酸及氨基酸代谢,上调机体的硝化应激、氧化应激和炎症反应,减少机体的能量供应。其中,胆汁酸、精氨酸代谢的扰动反映了氧化应激和炎症反应的上调,与心血管功能的短期不良改变相关谷胱甘肽代谢的扰动反映出谷胱甘肽过氧化物酶活性的降低和氧化应激反应的上调,与气道炎症增加密切相关

图片

图4 研究机制假说图

总结和展望

总体而言,即使远低于中国现行标准的室内O3短期暴露,依然可通过干扰机体代谢而对儿童心肺功能产生不良影响。本研究可为修订相关室内空气质量标准提供重要科学依据。今后可进一步加强开展室内空气与人群健康的研究,减少室内空气污染的健康危害。



图片

扫二维码|查看原文


原文链接:https://www.cell.com/the-innovation/fulltext/S2666-6758(21)00012-6

本文内容来自Cell Press合作期刊The Innovation第二卷第一期将发表的Article文章“Cardiorespiratory effects of indoor ozone exposure associated with changes in metabolic profiles among children: A repeated-measure panel study” (投稿: 2020-11-20;接收: 2021-01-31;在线刊出: 2021-02-04)。


DOI: https://doi.org/10.1016/j.xinn.2021.100087


引用格式:Liu S., Huang Q., Zhang X., et al. (2021). Cardiorespiratory effects of indoor ozone exposure associated with changes in metabolic profiles among children: A repeated-measure panel study. The Innovation. 2(1), 100087.






江苏省室内环境污染防治学会

E-mail:jspioiepc@163.com       邮编:210002

电话:025-86293810          传真:025-86293810
地址:南京市秦淮区光华路104号5号楼2楼


备案号:苏ICP备18022491号   版权所有:江苏室内环境网


扫描关注公众号

扫描关注抖音